赌球术语-赌球加时_免费百家乐计划_全讯网14234 (中国)·官方网站

數理學院沈百飛課題組在相對論電磁激波加速粒子機制研究中取得新進展

發布者:新聞中心發布時間:2025-06-19瀏覽次數:227

近期,我校數理學院沈百飛研究員和中國科學院理論物理研究所弓正副研究員團隊提出了一種新型高效的粒子加速機制,稱為“相對論電磁激波加速機制”。

在宇宙中,超新星爆發等劇烈天文事件會產生以接近光速運動的大尺度等離子體噴流。當這種相對論等離子體撞擊宇宙預先存在的磁場(如含有大范圍磁場的天體)時,只要其動能密度遠大于磁場的磁能密度,磁力線將被劇烈壓縮,導致磁場強度顯著增強。理論表明,若壓縮速度接近光速,磁場強度可增強為原來的2γ_p^2倍(γ_p為等離子體的相對論因子)。在這一過程中,快速變化的磁場將激發橫向電場,靜磁場被快速壓縮后變成了超強電磁波,我們稱之為“相對論電磁激波”。

相對論運動的等離子體天體壓縮磁場可形成相對論電磁激波,加速帶電粒子

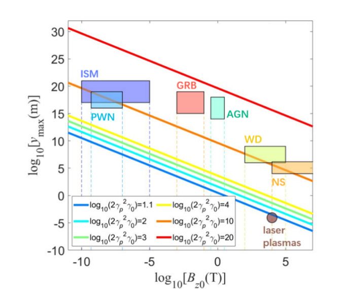
相對論電磁激波中的電磁波傳播速度略快于激波前沿所伴隨的相對論等離子體流速,使得激波的平臺區逐漸變寬。帶電粒子進入該區域后,受到橫向電場的持續作用獲得能量,同時在增強磁場的引導下其軌跡發生偏轉,最終垂直激波面逸出。通過哈密頓量分析可得,帶電子粒子的最大能量與2γ_p^2 γ_0成正比(γ_0為帶電粒子的初始相對論因子),圖1為示意圖。值得強調的是,該結果表明帶電粒子所獲得的最大能量與初始靜磁場強度沒有直接關系,即使初始靜磁場很弱,只要激波加速區域的尺度足夠大,粒子仍有可能被加速到極高的能量。圖2顯示了橫向加速距離與初始磁場之間的定標關系,進一步說明了該結論的普適性。

上圖為質子最大加速距離與初始磁場強度的關系以及最大能量。線條表示質子最大加速距離y_max與磁場強度B_z0的關系,假定天體的速度為v_p=0.925。彩色區域顯示了星際物質(ISM)、脈沖星風星云(PWN)、伽馬射線暴(GRB)、活動星系核(AGN)、白矮星(WD)和中子星(NS)等天體的典型磁場強度和距離范圍。

那么,這一機制是否可以在實驗室中實現?是否能夠利用它在實驗室中產生高能粒子束?

目前,超強激光的功率已達到10拍瓦,正在上海張江建設的“極端光物理線站”則計劃實現50拍瓦級別的激光輸出。如此高強度的激光在聚焦后能夠產生極強的光壓。早在2001年,沈百飛研究員曾在理論上提出,可利用超強激光的光壓整體加速納米厚度的薄膜靶,從而產生高能離子,這一機制也常被稱為“光壓加速”。如果將以接近光速運動的薄膜靶與靜磁場結合,就可以通過快速壓縮磁場,形成超強的電磁激波來加速帶電粒子。

為驗證“相對論電磁激波加速機制”的可行性,研究團隊開展了激光等離子體數值模擬研究。結果表明,當強度為約為1×〖10〗^23   W?cm^2的超強激光脈沖作用于等離子體并壓縮靜磁場時,所激發的電場能夠將質子加速到超過10 GeV。

展望未來,這一新的加速機制具有潛在的發展前景。由于粒子加速主要發生在橫向方向,借助線聚焦以及橫向飛行焦點等技術手段,可以進一步延長加速距離,從而提高粒子的最終能量。此外,該機制也非常適合實現多級激光等離子體相互作用的級聯加速(如圖3所示)。

相對論電磁激波級聯加速示意圖

(可采用橫向飛行焦點激光作為驅動源,磁場方向需根據粒子的運動方向進行改變,以確保橫向電場始終沿y方向)

該研究成果發表于Advanced Science(https://doi.org/10.1002/advs.202503538),第一作者為上海師范大學的博士研究生肖婷,沈百飛(研究員)和弓正(副研究員)為通信作者。文章的合作者還包括:上海師范大學的張曉梅(研究員)、孔凡秋(博士生)和鄭小龍(講師)。


(供稿、圖片:數理學院)

熱點新聞
最新要聞
百家乐官网单注打法| 百家乐高手看百家乐| 永利百家乐官网赌场娱乐网规则| 百家乐官网决战推筒子| 百家乐翻天超清| 百家乐官网赌场分析网| 大发888开户送58| 新时代百家乐官网的玩法技巧和规则 | 最好的百家乐游戏平台1| 澳门凯旋门娱乐城| 做生意讲究风水| 大发888娱乐场大发888娱乐场下载| 做生意的好风水好吗| 博彩行业| A8百家乐官网的玩法技巧和规则| 澳门金沙官网| 百乐坊百家乐游戏| 太阳城亚州| 百家乐官网赌场导航| 英皇国际娱乐| 百家乐庄闲局部失| 澳门百家乐官网怎么玩| 澳门百家乐官网真人娱乐场 | 百家乐庄闲点| 尊龙百家乐官网娱乐| 澳门赌场着装| 郑州市太阳城宾馆| 百家乐双龙| 百家乐书籍| 百家乐官网庄闲筹码| 百家乐官网策略详解| 明升备用地址| 娱乐城百家乐可以代理吗| 三亚百家乐官网的玩法技巧和规则 | 大发888游乐场| 电子百家乐规则| 真人百家乐是真的吗| 做生意门朝向什么方向| 百家乐官网平玩法几副牌| 亿博娱乐城| 彭阳县|